English
中文简体
商友
微门户
博客
我的活动
新闻
行业报告
求职招聘
供应
主页
我的首页
我的主页
商友
我的商友
搜索商友
访问足迹
添加商友
我的通讯录
从我的电子邮件导入
微门户
我的微门户
微门户新闻
微门户讨论
公共微门户
供应
查询供应
我的供应单
创建新的供应单
我的活动
我参与/发起的活动
发起新活动
公开活动
新闻
我的新闻
发布新闻
搜索新闻
求职招聘
浏览职位
发布新的招聘信息
我的职位
我的应聘
博客
我的博客
发布博文
评论管理
公共博客
行业报告
标签
博客标签
新闻标签
微门户标签
活动标签
微门户主题标签
档案标签
行业报告标签
职位标签
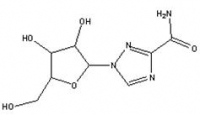
利巴韦林 (Ribavirin)
加入本微门户
微门户首页
新闻
讨论区
活动
博客
求职招聘
行业报告
圈内成员
供应
更多
热点报告
更多
最新报告
报告标签
,
友情链接:
主页
-
关于我们
-
联系我们
-
工作机会